Zaległe wypłaty i wojna zarządów. Dziwna historia studia Iron Lung, które ogłosiło upadłość, ale dalej istnieje [TYLKO U NAS]
Iron Lung został założony w 2021 roku (wtedy pod nazwą The Epic Lore). W pierwszych informacjach prasowych zapowiadano, że jego debiutancka gra – Alterborn – będzie nietypowym połączeniem roguelike’a, soulslike’a oraz looter shootera. Tak o swojej produkcji pisali twórcy:
Alterborn to trzecioosobowy survival action shooter osadzony w ponurym, wyjętym spod prawa świecie nękanym przez tajemniczą plagę. Życie w tak brutalnym środowisku odmieniło Cię; jako tytułowy Alterborn, jeden z ostatnich ocalałych, zmagasz się z własnymi demonami, które są nierozłączną częścią Twojego istnienia. Wyrusz w głąb splugawionej krainy Shattered Lands i dotrzyj do serca własnego przekleństwa.
Jednocześnie komunikatów ze strony studia było mało, zainteresowanie mediów lokalnych i zagranicznych bardzo niewielkie, a największym sukcesem okazał się trailer na oficjalnym youtube’owym koncie PlayStation. Zwiastun Alterborna nabił tam 63 tys. wyświetleń.
Ostatnią informację o grze możemy znaleźć na IGN Polska w lipcu 2023 roku. Od tamtej pory zapadła głucha cisza. Mało wypowiadali się też sami developerzy, w zakładce Dyskusje na karcie Steamowej widać było zaledwie kilka wpisów. Taka cisza w przypadku małego studia rzadko kiedy zwiastuje coś dobrego.
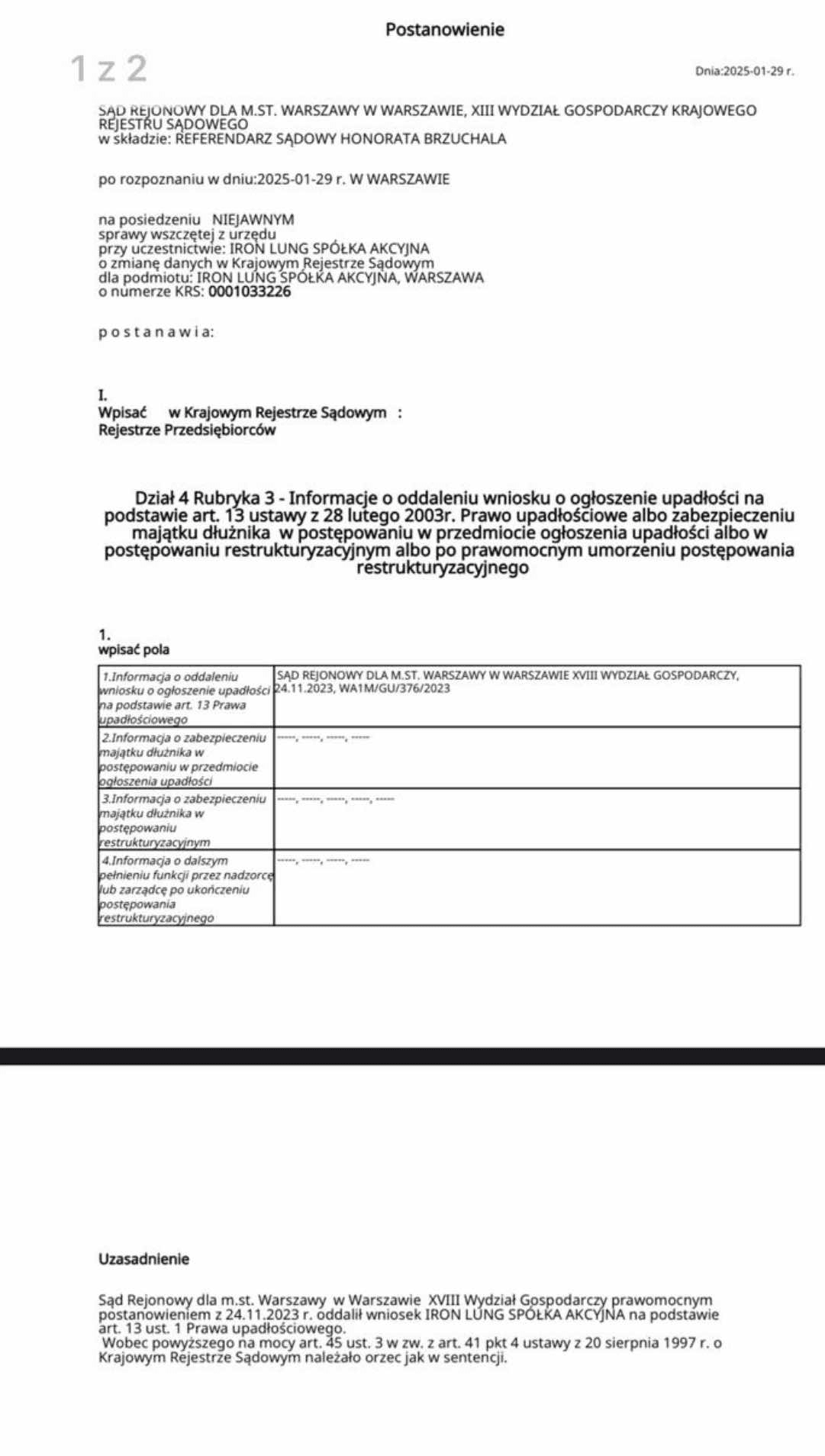
Na początku sierpnia 2023 roku osoby pracujące w studiu Iron Lunga miały dowiedzieć się o ogłoszeniu upadłości firmy z internetu, sprawdzając informacje o spółce. Z informacji, które nam przekazano, wynika, że przez aż trzy miesiące poprzedzające informację o upadłości twórcy nie otrzymywali pełnej pensji. Zaległości finansowe wobec nich do momentu publikacji tekstu nie zostały w pełni uregulowane, chociaż obecnie co miesiąc wypłacane są transze na podstawie ugody zawartej między pracownikami a Besim Group. A to dopiero początek kryzysowej sytuacji, która dotknęła studio. Aby opowiedzieć o niej, jeszcze w sierpniu 2024 roku do CD-Action zgłosili się pracownicy firmy, chcący nagłośnić swoją sytuację.
Problemy pracowników
Pierwszy zarząd Iron Lunga składał się z trzech osób: art directora Aleksandra Huberta Redde, lead programmera Radanata Boratyńskiego i Williama Błasiaka zarządzającego częścią biznesową. Z relacji pracowników, którzy się z nami skontaktowali, wynika, że wcześniej również pojawiały się problemy z wypłatami (opóźnienia lub jedynie częściowe wynagrodzenia). Firmę nadzorowało Besim Group, od którego, według relacji pracowników, zarząd chciał się odciąć. Dlatego też przez ostatnie trzy miesiące funkcjonowania (czyli między majem a początkiem sierpnia) zarząd obiecywał nowego inwestora. Ten się jednak nie pojawił.
Firma funkcjonowała w polskim gamedevie od dwóch i pół roku, a jej dług wobec pracowników wynosi niepełne trzy miesiące wypłat dla ok. 15 osób. Wiedząc, że źle się dzieje i budżet się nie dopina, Iron Lung miał dalej zatrudniać. Ostatnią pełną pensję pracownicy otrzymali w maju 2023 (za kwiecień). Późniejsze wypłaty były nie tylko niepełne, ale i zaskakująco nierówne między osobami – niektórzy dostawali wypłatę rzędu 4000 zł, inni 1500 zł. Iron Lung zdobył ponoć wtedy pieniądze z innych źródeł i zaczął pojedynczo rozdzielać część zaległych wypłat. Developerzy wpadli na pomysł o częściowym rozliczeniu wynagrodzeń poprzez zachowanie sprzętu, jednak wówczas firma – wedle naszych informacji – zasłaniała się syndykiem (sprzedażą tego, co ma, aby spłacić poszkodowanych).
Sierpień 2023 był momentem, gdy rozwiązano umowy z większością pracowników. Zatrudnień dokonywano początkowo na umowy-zlecenia, później na zasadach umowy o dzieło albo na B2B, w związku z czym wielu developerów z zaskoczenia straciło z dnia na dzień pracę i zostało bez zabezpieczeń. Jednocześnie po podpisaniu porozumień w sprawie rozwiązania umowy oraz po ogłoszeniu upadłości ciągle deklarowano finalną spłatę zadłużenia.

W 2023 Besim Group zaczęło odwoływać członków zarządu – na przełomie sierpnia i września usunięto Williama Błasiaka, Aleksandra Redde oraz Radanata Boratyńskiego. Od razu potem powołany został nowy zarząd. Obecnie w jego skład wchodzą Jakub Adamowicz oraz Bartosz Częścik. Radę nadzorczą zasilają Mateusz Wojciech Szczurek, Krystian Arkadiusz Bielas (prezes Besim Group) oraz Michał Stanisław Wasiak.
Kto zawinił, kto ma jakie zobowiązania? Sytuacja jest na tyle skomplikowana, że przedstawiamy stanowiska dwóch zarządów firmy.
Perspektywa starego zarządu
Redakcja CD-Action skontaktowała się ze starym zarządem, tj. Błasiakiem, Boratyńskim oraz Redde. Cała trójka wskazała działania grupy inwestycyjnej Besim Group jako jedną z przyczyn braku wynagrodzeń. Ich zdaniem nagle przerwano wypłatę transz, a także błędnie informowano o kolejnych krokach oraz obiecywano finansowanie, które miało nie być wypłacone na czas i które finalnie miało zostać odcięte.
Redde twierdzi, iż umowa spółki Iron Lunga dawała Besimowi kontrolę i sprawiała, że studio nie miało pełnej sprawczości, gdyż dysponowało mniejszym pakietem udziałów (początkowy podział wynosił 20% dla developerów, a 80% dla Besimu).
Błasiak był natomiast jednym z założycieli Besimu. Po czasie (oficjalnie, według KRS-u, został wykreślony z zarządu we wrześniu 2023) odszedł z niego i planował przejąć większościowy pakiet akcji Iron Lunga z rąk grupy inwestycyjnej. Do tego ostatecznie nie doszło. “Besim Group do dnia dzisiejszego nie wywiązał się właściwie z umowy podpisanej z nim w czerwcu 2023 roku, wobec czego stary zarząd Iron Lunga nigdy nie miał pełnej kontroli nad spółką, co mogło być kluczowe dla pozyskania zewnętrznego finansowania” – tłumaczy nam Błasiak.
Dawny zarząd Iron Lunga informuje nas, że wraz z pojawieniem się problemów z płatnościami miał wysyłać komunikaty do Besimu z zapytaniem o opóźnienia. Redde twierdzi, iż „Besim obiecywał, że te pieniądze będą”, a Boratyński dodaje: “Tego samego miesiąca, kiedy przestaliśmy otrzymywać transze, skończyło się finansowanie Iron Lunga, o czym poinformował nas Krystian Bielas”.
Boratyński w rozmowie z Besim Group miał też zaznaczać: „Jeżeli spółka nie dostanie zaległych wypłat i wspomniana umowa z Błasiakiem (dot. przejęcia pakietu akcji – dop. red.) nie dojdzie do skutku, to niemożliwe jest, aby Iron Lung mógł kontynuować działalność, i będzie zmuszony złożyć wniosek o upadłość”.
Przekazano nam informację o spotkaniu Besim Group z innym studiem developerskim, Mighty Koi (zapowiedzieli w 2024 produkcję m.in. gry o Thorgalu), jako potencjalnym partnerem. W rzeczonym spotkaniu uczestniczyli też szeregowi pracownicy Iron Lunga. Jeden z developerów miał zapytać wówczas Adamowicza z Besimu o zaległe wynagrodzenie. W odpowiedzi usłyszał, że dostaną zaległe wypłaty dopiero wtedy, gdy zespół zacznie znowu pracować nad grą (mimo braku uregulowania płatności za poprzednie miesiące). Boratyński uważa, że to „dobitnie pokazuje podejście Jakuba Adamowicza do dramatycznej sytuacji, w której znaleźli się pracownicy Iron Lunga”.

Pierwszy zarząd opowiedział CD-Action, jak przez ostatnie miesiące działalności spółki pod byłą kadrą kierowniczą poszukiwano wydawcy oraz inwestora. Redde prowadził rozmowy z potencjalnymi partnerami biznesowymi w sprawie produkcji Alterborna oraz nawiązania długoterminowej współpracy. Zdaniem Błasiaka jednym z głównych problemów okazało się „niewywiązanie się Besim Group z przekazania pakietu większościowego akcji Williamowi Błasiakowi – mimo podpisanej umowy – co sprawiało, że Besim Group nadal w pełni kontrolował spółkę”. Ponadto dodał, że zagrożeniami, na które wskazywać mieli potencjalni inwestorzy, były m.in. „grząska struktura udziałowców (masowe sprzedawanie udziałów Iron Lunga klientom) oraz rzekome powiązania Adamowicza ze sprawą GetBacku”.
Według starego zarządu Adamowicz i Bielas z Besim Group mieli być pod wrażeniem działalności Michała Dziwniela w Brave Lamb Studio (o upadku tej firmy pisaliśmy w osobnym artykule) i naciskali na Iron Lunga na podpisanie umowy z zewnętrznym wydawcą najszybciej, jak to możliwe.
Boratyński przywołuje również oskarżenia Besimu, jakoby ten zakończył finansowanie ze względu na „przekroczony budżet”. Według poprzedniego zarządu Besim przerzucał na spółkę koszty niezwiązane z budżetem, które szły w dziesiątkach, a nawet setkach tysięcy. Wchodziły w to m.in. koszta prawne przekształcenia spółki w spółkę akcyjną, wynagrodzenie biegłego rewidenta lub faktury dla firmy Dziwniela za doradztwo.
Boratyński mówi, że firma zdecydowała się na złożenie wniosku o upadłość, ponieważ zgodnie z przepisami spółka musi to zrobić w ciągu 30 dni od dnia wystąpienia niewypłacalności. Miało to również na celu zadbanie o interesy wszystkich akcjonariuszy, pracowników oraz innych wierzycieli. Jednocześnie zarząd złożył wniosek restrukturyzacyjny o zatwierdzenie układu. Dawało to szansę na spieniężenie majątku spółki (np. sprzętu komputerowego oraz potencjalnie prawa własności do Alterborna), dzięki czemu można by było spłacić część powstałych zobowiązań, w tym zaległych wynagrodzeń. Besim Group po wprowadzeniu do Iron Lunga nowych członków zarządu i odwołaniu starego nie kontynuował procesu upadłościowego i układowego, o czym świadczą dokumenty z Krajowego Rejestru Zadłużonych. Z uwagi na niewystarczający majątek spółki sąd oddalił wniosek.

Jak wspomniano wyżej, w trakcie tego procesu Besim Group rozpoczął wymianę wszystkich członków zarządu: Błasiak został usunięty w sierpniu 2023, a kilka tygodni później to samo spotkało Redde oraz Boratyńskiego.
Besim Group po objęciu funkcji decyzyjnych w Iron Lungu wysłał 24 sierpnia 2023 roku pismo do akcjonariuszy, w którym zapewniał ich, że spółka zostanie dofinansowania kwotą 1 060 000 zł oraz że praca nad grą jest kontynuowana, a Iron Lung wejdzie na giełdę NewConnect. Przy okazji w liście deklarowano uregulowanie potencjalnych zaległości względem pracowników. Niestety żadne z tych zapewnień się nie spełniło.
CZYTAJ DALEJ NA KOLEJNEJ STRONIE

Członkowie starego zarządu potwierdzają, że i oni nie otrzymali wynagrodzenia za ostatnie miesiące pracy. Przyczyną tego stanu rzeczy miało być nieposiadanie przez spółkę przychodów (w końcu tytuł nie wyszedł do sprzedaży), a jedyne źródło finansowania jej produkcji (czyli Besim Group), zdaniem poprzedniego szefostwa, odmawiało komunikacji oraz współpracy, wykorzystując swoje ekonomiczne i prawne uprzywilejowanie. Według nich to obecne organy spółki powinny zrobić wszystko, aby zapłacić zaległe pensje developerom, zgodnie z podpisanym przez nie osobiście komunikatem w piśmie do akcjonariuszy oraz oczywistym pełnieniem obecnej funkcji. Moi rozmówcy dodają także, że to w ich rękach jest również pozostały majątek spółki w postaci m.in. sprzętu elektronicznego, a „nowy zarząd nie kontynuował poprzednich działań mających na celu spłacenie chociaż części wierzytelności”.
Stary zarząd wyraża też wątpliwość co do tego, do kogo należy IP Alterborna (wątpliwości te podziela część pracowników). Wynika to z faktu nieuregulowania płatności za prace nad grą, co w teorii oznacza nieprzeniesienie praw autorskich.
Obecnie Boratyński ma otwarte postępowanie sądowe na drodze cywilnej o zaległe wynagrodzenie. Wnioskował o zabezpieczenie majątku na czas rozprawy, do czego sąd się przychylił, jednak komornikowi nie udało się zabezpieczyć pełnej kwoty należności, co pozwala Boratyńskiemu wnioskować, że spółka nie posiada aktualnie żadnych środków pieniężnych. Oznaczałoby to, że żadne dofinansowanie na rzecz Iron Lunga nie zostało zrealizowane.

Na przełomie lutego i marca po parunastu miesiącach ciszy ze strony spółki, stary zarząd uzyskał informację, jakoby kilkoro pracowników Iron Lunga otrzymało propozycję ugody w sprawie spłaty części wynagrodzenia – ich zdaniem niekorzystną z prawnego punktu widzenia. Według uzyskanych informacji ugoda miałaby zakładać ratalną spłatę zadłużenia oraz zrzeczenie się wszystkich roszczeń pracowników względem produkcji Alterborna oraz względem spółki – niezależnie od tego, czy ostatnia rata wynagrodzenia zostanie uregulowana. Stary zarząd podkreśla, że ugody „miałyby również zakładać wycofanie obecnie prowadzonych postępowań sądowych.
Od wymiany zarządu minęło już półtora roku.
Perspektywa Besim Group
Skontaktowaliśmy się również z Besim Group, który przejął Iron Lunga. Członek zarządu firmy, Jakub Adamowicz, wskazuje, że jego zdaniem problemem była komunikacja, zwłaszcza ze strony Williama Błasiaka. Podkreśla, że wynikało to z łączenia przez Błasiaka funkcji członka zarządu zarówno w Besim Group, jak i Iron Lungu. Decyzje gremium Besim Group przekazywano więc do Błasiaka jako do reprezentanta spółki. Adamowicz twierdzi, że w toku jego późniejszych ustaleń miało się okazać, że inni członkowie zarządu Iron Lunga uważali, iż Błasiak nie przekazywał im kluczowych informacji, które otrzymywał od Besimu.
W 2021 roku, gdy Iron Lung funkcjonował pod nazwą The Epic Lore, a tytułem roboczym gry był Forsaken Martian, estymacja potrzeb kapitałowych przygotowana przez założycieli i zarząd spółki miała wynosić dwa miliony złotych kosztów developmentu oraz dodatkowy milion na marketing. Środki te Besim przekazywał w comiesięcznych ratach na bieżące potrzeby, takie jak wypłaty czy zakup sprzętu. Wówczas rozpoczęła się również rekrutacja pracowników do studia.
Po pewnym czasie do zespołu The Epic Lore dołączył Aleksander Redde, który miał poprosić o spotkanie z inwestorami, czyli z Besim Group. Stawili się na nim Jakub Adamowicz oraz Krystian Bielas, a ze strony ówczesnego zarządu William Błasiak oraz Radanat Boratyński. Według Adamowicza Redde miał na rzeczone spotkanie przyprowadzić zewnętrznego konsultanta do analizy postępów w produkcji gry. Osobą tą był Michał Dziwniel.

Miesięczny wydatek Besim Group, przeznaczony wyłącznie na produkcję gry, z początku wynosił ok. 150 tys. zł. Wówczas Dziwniel zalecił, aby wolne miejsce w zarządzie objął Redde, uzasadniając to jego wizją rozwoju gry. Z kolei z firmy postanowił odejść Radosław Kaśkiewicz, jeden z założycieli firmy. Besim miał zapłacić mu ok. 70 tys. zł „na odchodne”. Z kolegi Boratyński i Redde otrzymali kolejno 13% i 7% udziałów w firmie. Chciano jednak, aby wspomniana dwójka za te udziały zapłaciła i według Adamowicza obaj panowie przystali na te warunki, opłacając udziały w ratach (pomniejszając swoje wynagrodzenia brane z Iron Lunga).
Besim Group miał uzgodnić z Dziwnielem, że ten nadal będzie pełnił funkcję konsultanta. Błasiak piastował od początku stanowisko wiceprezesa ds. finansowych w Iron Lungu z prawem weta do wszystkich decyzji finansowych. Adamowicz przyznaje, że nie podpisali szczegółowej umowy inwestycyjnej ze studiem (z wykazanym budżetem i wszystkimi niuansami związanymi z developmentem gry), ale mają uzgodnienia mailowe. Jak sam podkreśla w rozmowie z nami: – Byliśmy naiwni, a przede wszystkim uznaliśmy, że skoro jest tam William jako reprezentant Besim Group, to wszystko pójdzie zgodnie z planem.
Gdy na pewnym etapie budżet na produkcję gry miał zostać przekroczony (według Adamowicza o ok. pół miliona złotych), Besim Group zaczął dopytywać, co dzieje się z produkcją Alterborna. Wówczas otrzymał zaktualizowany kosztorys, który zakładał, że na dokończenie samej produkcji potrzebne są trzy miliony złotych „z ogonkiem”. W szczytowym momencie miesięczne wydatki, jakie Besim Group przeznaczał na produkcję Alterborna, miały wynosić ok. 240 tys. zł.
Adamowicz twierdzi, że wielokrotnie dopytywał zarząd Iron Lunga, na jakim etapie są prace nad Alterbornem. Jak podaje, powiedziano mu wówczas, że skoro Besim nie zna się na gamingu, to „ma sypać i nie zadawać pytań”. Adamowicz ponownie wskazuje, że jego zdaniem relacje z Iron Lungiem niszczył Błasiak.
Na przestrzeni marca i kwietnia 2023 roku odbyło się spotkanie Adamowicza i Bielasa z Błasiakiem. Ustalono wówczas wspólnie, że Iron Lung będzie dalej finansowany przez Besim Group tylko do maja, ponieważ inwestycja osiągnęła już trzy i pół miliona złotych, znacznie przekraczając wcześniejszy kosztorys. Błasiak przekazał ponoć, iż do ukończenia Alterborna potrzeba dodatkowych dwóch milionów dolarów lub euro (w rozmowie między panami miały padać różne waluty) i sam zabezpieczy te środki do spółki poprzez znalezienie wydawcy lub dodatkowego inwestora. Wtedy Besim Group miał dowiedzieć się o znalezieniu potencjalnego wydawcy gry i trwających negocjacjach. Postanowił skontaktować się z domniemanym wydawcą, który miał potwierdzić, że rozmowy trwają, ale nie deklarował chęci finansowania projektu.
W maju 2023 roku Besim Group zgodnie z ustaleniami przekazał ostatnią transzę dla Iron Lunga. W ramach rozstania z Błasiakiem miano zaproponować mu albo wypłatę środków za udziały, albo 40% udziałów w Iron Lungu. Ostatecznie Besim zatrzymał – jak nam przekazano – 15% udziałów, a Błasiak zadeklarował doprowadzenie projektu do końca. Po podpisaniu umowy 14 czerwca 2023 Adamowicz uznał sprawę za zamkniętą.
Na przełomie lipca i sierpnia 2023 roku z Adamowiczem skontaktował się Marcin Grzegórski z Mighty Koi, pytając, czy jest on właścicielem Iron Lunga, gdyż studio zalega z wypłatami dla pracowników. Grzegórski miał również przekazać, że Błasiak zamierza przenieść IP i wyniki prac programistycznych Alterborna do nowej spółki, a Iron Lung jest zadłużony na ok. pół miliona złotych. Mighty Koi, jak nam powiedziano, zaproponowało inwestycję miliona złotych i objęcie roli wydawcy. Obecnie nad Alterbornem pracuje firma Game Crafters S.A, należąca m.in. do Marcina Grzegórskiego.

W sierpniu w biurze Mighty Koi odbyło się spotkanie, w którym uczestniczyła także kadra zarządzająca i pracownicy Iron Lunga, domagający się wyjaśnień w sprawie zaległych wypłat. Besim Group twierdzi, że zadeklarował gotowość do ich spłaty. Wtedy padła propozycja dodatkowego dofinansowania Alterborna (po milionie złotych od Besimu i Mighty Koi). W zamian za to Mighty Koi miało zażądać odejścia Błasiaka. Jako argument przytoczono wątek przekazania przez Mighty Koi za wykonanie dodatkowych usług 50 tys. zł, które – jak mówi nam Adamowicz – “miały iść na pensje pracowników, a finalnie pieniądze trafiły głównie do Williama, Radanata i Aleksa”.
Następnie zorganizowano posiedzenie rady nadzorczej, na które zaproszono Redde i Boratyńskiego. Przedstawiono im warunek, że dokończenie gry równa się rozstaniu z Błasiakiem. Besim Group podaje, że po tej rozmowie środki Błasiakowi wysłał, a ten mailowo potwierdził ich odbiór. Miało to oznaczać sprzedaż jego udziałów, tym samym zostawienie spółki Besimowi. Wcześniej rada nadzorcza odwołała Błasiaka.
Przekonywano nas również, że na spotkaniu Adamowicza z Boratyńskim i Redde miała paść również propozycja przeniesienia Iron Lunga do biura Besimu za darmo. Adamowicz mówi, iż dowiedział się wówczas, że kod źródłowy znajdował się na prywatnym komputerach, a nie w „chmurze”, ponieważ „spółka nie posiada pieniędzy na opłacenie chmury”. Besim miał opłacić wtedy i usługę, i miesiąc zaległego czynszu ze starego biura, przy okazji zamawiając busa do przewiezienia sprzętu.
Adamowicz twierdzi, że później nikt nie odbierał telefonu, a sprzętu nie przeniesiono. Besim Group miał otrzymać maila, że w związku z toczącym się konfliktem z Błasiakiem Iron Lung jako zarząd zabezpieczył majątek: „Sprzęt jest gdzieś schowany, ale nie powiedzą gdzie, a kod do gry również ukryto w bezpiecznym miejscu”. Prezes Besimu powiedział także, że dopiero wtedy dowiedział się o złożeniu przez studio wniosku upadłościowego i restrukturyzacyjnego.
Besim Group poprosił sąd o wyznaczenie tymczasowego nadzorcy upadłości. Adamowicz zadeklarował wtedy, że nie pozwoli studiu zginąć, gdyż „wpakował w tę spółkę 3,6 mln zł”. Jego celem było cofnięcie wniosku o upadłość, a w międzyczasie Besim odwołał Boratyńskiego oraz Redde z zarządu Iron Lunga.
Tymczasowy nadzorca miał stwierdzić, że nie jest w stanie procedować upadłości, bo nie wiadomo, gdzie znajdują się składniki majątku (kod źródłowy i sprzęt). Kod miał zostać odnaleziony na prywatnym koncie Boratyńskiego.
Sprawozdanie finansowe za rok 2023 miało nie dojść do skutku ze względu na brak opinii biegłego za 2022, nad czym spółka aktualnie pracuje. Adamowicz przyznaje, że otrzymał grzywnę za tę sytuację. jego zdaniem na ten moment Iron Lung posiada kod do gry oraz prawa do IP Alterborna, a między Besimem i kluczową częścią developerów pracujących nad tytułem zostały podpisane ugody finansowane przez Besim, na mocy których ich zaległe wypłaty są spłacane w trybie ratalnym. Besim dodatkowo miał zobowiązać się do dofinansowania spółki kwotą 250 tys. zł, m.in. na spłacanie zaległości z czasów poprzedniego zarządu.
Obecnie produkcja gry jest kontynuowana na mocy umowy między Iron Lungiem a Game Crafters S.A. Zgodnie z porozumieniem nad zakończeniem projektu pracuje zespół, który historycznie był zatrudniony w Iron Lungu, a Game Crafters zobowiązało się dostarczyć milion złotych do spółki w formie wynagrodzenia dla developerów i doprowadzić do wydania gry w zamian za udział w zyskach ze sprzedaży tytułu. Besim Group twierdzi, że długi są spłacone lub w trakcie spłacania, trwają działania audytowe zmierzające do wyegzekwowania należności od poprzedniego zarządu.
Podsumowanie sporu zarządów
Stary zarząd i nowy Iron Lunga znajdują się obecnie na wojennej ścieżce i – jak wspominałem na początku – obie strony są w stanie zaprezentować dokumenty poświadczające ich wersję wydarzeń. Trudno więc ferować wyroki, problem musi rozwikłać polski system prawny.
Wiemy, że niektóre sprawy mają trafić (lub już trafiły) do prokuratury, a dotąd (stan na 12 marca 2025) Besim wypłacił developerom dwie z trzynastu rat. Zapytałem pracowników, jak zapatrują się na przyszłość oraz czy po zakończeniu okresu spłacania uznają sprawę za zamkniętą.
W odpowiedzi usłyszałem, że wszyscy, którzy zostaną spłaceni, uznają, iż z ich strony kwestia zadłużenia Iron Lunga jest zakończona i nie mają żadnych dalszych roszczeń (oczywiście jeżeli kolejne transze będą wpływały terminowo).

Niestety nie wszyscy dostaną ratalne wynagrodzenia. W ekipie pracowniczej znajdują się osoby, które informują nas, że od Besimu nie otrzymały żadnej ugody ani propozycji rozmowy. Jedna z nich twierdzi, że nawet jakby ją otrzymała, to nie podpisałaby jej, ponieważ nie ufa Besim Group oraz nie zgadza się na przedstawione warunki, które „blokują jakąkolwiek możliwość walki o moje pieniądze w przypadku niedotrzymania warunków przez dłużnika”.
Besim Group potwierdza, że planował i nadal planuje wprowadzenie Iron Lunga na giełdę (został nawet przygotowany dokument informacyjny wraz z domem maklerskim Q Securities na dzień 30 kwietnia 2023. Do wprowadzenia firmy ostatecznie nie doszło.
Czytaj dalej
-
20
Polska branża gier w dużym kryzysie. Ministerstwo Kultury obiecuje nową strategię rozwoju
-
10The Alters, Robert Lewandowski i Jacek Bartosiak – polski gamedev w 2025 roku to pasmo sukcesów, porażek i kuriozów
-
6Jak trafić ze swoją grą na chiński rynek z szansą na sukces? Te rzeczy powinien wiedzieć każdy polski producent i wydawca
-
Nadchodzi polskie Unpacking? Must be Feng Shui zapowiada się na kolejną perełkę wśród gier tego typu

Wreszcie jakiś dobry artykuł. Dobrze się czytało, mam nadzieje, że więcej podobnych w przyszłości śledztw się pojawi.
Przedstawiliście perspektywę zarówno obu zarządów, jak i pracowników. No i byliście rzetelni oraz bezstronni. Takiego właśnie dziennikarstwa potrzebujemy.
Dlatego nie powinno byc zarzadu, tylko ekipa zaklada Spoldzielnie gamingową, sami sie zrzucaja na koszty produkcji, a później dziela zyski. Jak staja sie bogaci to dziela miedzy soba udzialy w Spoldzielni uczciwie i wykupuja.
Zarzad to niemal zawsze pasozyt, ktory kradnie firmie pieniadze, sam niewiele pracuje i podejmuje same zle decyzje, ktore rozwalaja firme.
Moze 1 na 1000 prezesow do czegokolwiek sie przydaje firmie. Wiele z nich lepiej by funkcjonowalo jakby zarzadu nie bylo i sterowana firma bylaby przez dyrektorow i kierownikow z podzialem zyskow dla pracownikow.
W gamedevie im mniej pasozytow nie klepiacych kodu czy klikajacych grafike, muzyke czy animacje, tym lepiej.
A czy ktoś w tej całej sytuacji myśli też o inwestorach, którzy wpłacili kilka lat temu pieniądze na wydanie gry? I